INTEGERS
id:integers
パワフル数
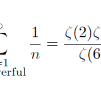
パワフル数についての解説記事。この記事では、パワフル数の逆数和の総和を求め、連続するパワフル数が無数に存在することを証明する。