INTEGERS
id:integers
グリーン・タオ論文の§10を読む(その一)
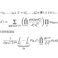
§10 Correlation estimates for を読みます。前節において、Goldston-Yıldırım型定理A, Bを証明することに全てが帰着されました。この記事ではGoldston-Yıldırım型定理Aを証明します。ただし、Riemannゼータ関数が関わるコンタワー積分の漸近挙動に関する補題の証明は後まわしにします。(再掲) Goldston-Yıldırım型定理A (…