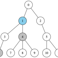
ダブリングによる木の最近共通祖先(LCA:Lowest Common Ancestor)を求めるアルゴリズム | アルゴリズムロジック

最近木においてある頂点の祖先は「親をたどってたどり着ける頂点」を指し、2頂点の共通祖先は「2頂点が共通して持つ祖先」のことを言います。 頂点 u と v の最近共通祖先(LCA:...