第6回 RNN(Recurrent Neural Network)の概要を理解しよう(TensorFlow編)

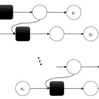
時系列データの予測でよく使われるディープラーニングの代表的手法「RNN」を解説。そもそも時系列データとは何か? RNNの特徴や、通常のニューラルネットワークの相違点についても押さえよう。