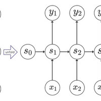
RNN:時系列データを扱うRecurrent Neural Networksとは

リカレントニューラルネットワークは、時系列データを扱うことのできるニューラルネットワークの1つです。本記事では、RNNについて、応用事例や仕組み・実装方法まで徹底的に解説しました。