ドジソンの本棚
id:Dodgson
【超簡単】ガウス関数の積分の計算の流れを覚えてしまおう
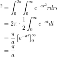
はじめに!確認しよう!※前回のガウス積分の記事での場合を考えましたが、今回はより一般的な場合でどうなるか計算します。前回の記事を先に見ておくと理解しやすいので、そちらからどうぞ。↓dodgson.hatenablog.com ガウス関数の積分、その流れ今回はこれを示したい。前回の記事でやったように、にしてやっていけばいいの…