物理人、世界を語る
id:feynmandiagram
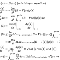
波動関数とその微分が連続であることの理由
量子力学の井戸型ポテンシャルなどの問題で、波動関数とその微分が連続であることは天下りに導入されることが多いです。 私はすごく悩みました。 しかし、それにはきちんと理由があります。 では、説明していきます。 仮定 どんな状況について考えるか 証明 仮定 波動関数φ(x)は有限の値を取ることを仮定。 どんな状況につ…