LeavaTailの日記
id:LeavaTail
I/O スケジューラの違いによるストレージの読み込み性能を比較する
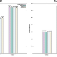
概要 はじめに mq-deadline の概要 bfq の概要 kyber の概要 目的 実行環境 計測方法 スループットの計測 BIO毎のレイテンシ計測 CPU使用率の計測 準備 Linuxカーネルの再構築 必要なパッケージのインストール BPFスクリプトの修正 実験結果 スループット レイテンシ CPU使用率 おわりに 変更履歴 参考 注意 本記事は、特…