Effect of fruit restriction on glycemic control in patients with type 2 diabetes – a randomized trial - Nutrition Journal

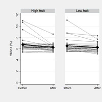
Background Medical nutrition therapy is recognized as an important treatment option in type 2 diabetes. Most guidelines recommend eating a diet with a high intake of fiber-rich food including fruit. This is based on the many positive effects of fruit on human health. However some health professiona…