あなたは嘘つきですかと聞かれたら「YES」と答えるブログ
id:snuke
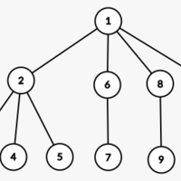
根付き木のハッシュ
りんごさん方式の記事 正当性を証明するにはユニークな多項式の形にしてmodを素数にしておけば、Schwartz–Zippel lemmaを使えて良いっぽい? multisetのハッシュ、0になりやすいなぁと思ったけど0になる確率がat most n/modなのか。 記事での根付き木のハッシュの取り方を日本語にまとめておきます。 根付き木のハッシュ …