jiku log
id:stern_bow
「データのつながりを活かす技術」を読む ~第6章 グラフニューラルネットワーク ④GNNの実装~
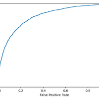
はじめに データのつながりに着目した新たなデータ分析の手法を学ぶために,黒木裕鷹・保坂大樹 著 「データのつながりを活かす技術〜ネットワーク/グラフデータの機械学習から得られる新視点」を読むことにした。本記事は,「第6章 グラフニューラルネットワーク」における,GNNの実装に関する読書メモである。 本書の紹…