たろすのプログラミング教室
id:talosta
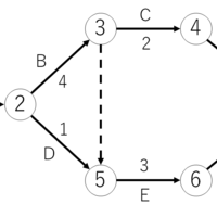
【基本・応用情報技術者】アローダイアグラム(PERT図)のクリティカルパスを求める
今回は基本情報技術者試験と応用情報技術者試験で頻出の「クリティカルパスの求め方」を解説します。一見難しそうですが、覚えてしまえば簡単です。高確率で出題されるので求め方を覚えておきましょう。