いぬおさんのおもしろ数学実験室
id:Inuosann
四元数(しげんすう、クオータニオン)を使ってみる(4)
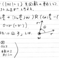
前回までに四元数を使って空間の点を回転する方法について調べました。再度載せておきます。 試してみましょう……と言いたいのですが、手作業だと絶望的な気分になります。4項の和×3項の和×4項の和 で、勘弁です。Pythonで計算できるみたいなので、調べてやってみました。 まず四元数を使えるようにします。 Numpyをインス…